Sempre que me perguntam sobre o tema “Maconha causa esquizofrenia” e variantes, minha primeira reação é de que se trata de uma “discussão velha e ultrapassada”. O tópico é debatido há muito tempo, e a resposta parece sempre uma espécie de posicionamento político, pois há evidências de um lado e de outro.
Contudo, a mais recente polêmica no STF, reacendendo a chama a respeito da legalização da maconha no país, reabriu essa caixa de Pandora, de onde pode sair de tudo. Descriminalização, liberação de porte, regras para consumo, há inúmeras nuances e variáveis.
Podemos discutir aqui aspectos diferentes de como regular esse hábito que, independente da vontade dos formadores de opinião ou dos legisladores, já é seguido por uma parcela significativa da população.
Eu quero aqui discutir parâmetros práticos de segurança, pautado em um estudo recente e bastante completo sobre o tópico, no que diz respeito à ocorrência de psicose induzida por Cannabis. Esse estudo serve como uma excelente referência por um motivo ímpar: o follow up de milhares pacientes por mais de uma década, passando pelo período crítico de neurodesenvolvimento, que é a adolescência.
O estudo veio depois de uma outra excelente publicação de revisão de meta-análise do mesmo grupo publicado na Lancet Psychiatry. Já antevendo as críticas: o grupo tem viés “proibicionista”?
Aparentemente se inclina para esse lado, sim, mas de qualquer forma traz elementos novos e objetivos para essa discussão, os quais recomendo não negligenciar. O estudo mostra uma associação positiva entre o consumo de Cannabis por jovens e a ocorrência de sintomas psicóticos. OK, até aí nada de novo no front.
Contudo, as novidades são que, em primeiro lugar, há uma relação da frequência destes sintomas com a “potência psicoativa” da Cannabis consumida. E, em segundo lugar, está confirmada a hipótese da janela de vulnerabilidade da adolescência.
Isso em um estudo que inicialmente acompanhou cerca de 14 mil casos desde o nascimento, com follow-up até os 24 anos. Trata-se de uma obra-prima em termos epidemiológicos, um sub-coorte do estudo “Children of the 90’s” iniciado em Bristol mais de 30 anos atrás.

Podemos tirar algumas conclusões da figura acima, que mostra como esse estudo britânico foi conduzido. Primeiro de tudo, o acompanhamento dos quase 14 mil participantes resultou em 5.570 respondentes sobre o uso de Cannabis, dos quais 36% relataram ter usado Cannabis até os 18 anos.
Ou seja, um em cada três adolescentes já havia pelo menos experimentado a substância uma vez na vida. É um número relativamente alto, não é? Eu, pelo menos, me surpreendi.
Destes, ainda temos uma parcela que deu detalhes sobre a potência da Cannabis utilizada, avaliada como porcentagem do componente psicoativo THC (delta-9-tetrahidrocanabinol). Em um formulário padronizado, os voluntários responderam sobre isso com uma das seguintes alternativas:
Qual sua forma típica de uso de Cannabis?
A) Maconha “herbal” (no Brasil, seria o famoso “prensado”)
B) Skunk (flores selecionadas, geralmente mais potentes)
C) Haxixe ou resina (e variações como cera, DAB, rosin etc, ainda mais potentes em THC)
D) Outros
E) Não tenho certeza
Em um artigo anterior, de padronização do formulário, as preparações do tipo A e C foram associadas a “baixa potência” (ou menos de 10% de THC), enquanto a preparação B foi associada a “alta potência” (ou mais de 10% de THC), separando o grupo de respondentes nestas duas classificações.
Importante mencionar que a resposta quanto à potência da Cannabis foi dada no mesmo momento em que se perguntou sobre a ocorrência de sintomas psicóticos aos 24 anos (enquanto o formulário anterior de “lifetime use” havia sido aplicado entre os 16 e 18 anos).
Por que isso? Porque a pergunta principal do artigo era “será que fumar maconha na adolescência aumenta a chance de sintomas psicóticos a partir na idade adulta? A incidência foi acompanhada pelo questionário semi-estruturado Psychosis-Like Symptom Interview, sendo considerada "positiva” quando houve algum novo evento de sintoma psicótico entre os 19 e 24 anos de idades. A propósito, esse é o belo estudo de padronização do instrumento usado.
Os resultados
Adultos que tiveram experiência com Cannabis na adolescência têm duas vezes mais chances de ter um episódio psicótico (como alucinações e delírios) na idade adulta se e somente se a Cannabis for de alta potência. Quando se considera o uso de Cannabis “em geral”, ou o de baixa potência, esse aumento de probabilidade não é percebido.
A incidência de experiências psicóticas foi de 6,4% em adolescentes que usaram Cannabis e de 3,8% nos que relataram não terem usado. A diferença entre os grupos é menor quando falamos de sintomas frequentes ou considerados “perturbadores” (2,6% nos que usaram versus 1,8% nos que não usaram).
De acordo com o descrito no artigo, considerando como um todo, a evidência de que adolescentes que utilizaram Cannabis têm maior chance de terem experiências psicóticas é fraca.

Contudo, quando consideramos os que relataram uso de Cannabis de alta potência, a incidência de sintomas foi de 10,1%, substancialmente maior do que os 4,5% dos que relataram uso de Cannabis de baixa potência.
A incidência de sintomas frequentes e perturbadores também sobe para 4,3% no grupo de alta potência versus 1,8% dos de baixa potência, atingindo significância estatística.

Em termos de caracterização demográfica da amostra, não houve grandes diferenças entre os grupos, mas no grupo de Cannabis de alta potência eram mais frequentemente do gênero masculino, usuários de tabaco e com famílias com maior nível sociocultural. Não houve outras diferenças em relação a uso de outras substâncias e patologias confundidoras, como depressão.
De maneira interessante, uma minoria de apenas 9.3% reportou o uso de Cannabis de alta potência, o que parece condizer com a “realidade” de que só 1 em 10 se tornam usuários “pesados” e talvez sejam os indivíduos que de fato desenvolveram uma tolerância devido ao uso contínuo.
Pode ser, além de tudo, um link entre desenvolvimento de dependência e sintomas psicóticos, mais do que somente uma resposta ao uso agudo e eventual.
De fato, uma revisão sistemática do mesmo grupo de pesquisa já havia demonstrado uma associação entre a potência da Cannabis usada e a ocorrência de sintomas psiquiátricos, sobretudo psicose e risco de “dependência típica” (Cannabis use disorder, em inglês).
Essa associação não é necessariamente positiva para outros sintomas, como ansiedade e depressão, reforçando a ideia já encrustrada no imaginário coletivo de que “Cannabis causa esquizofrenia”, o que é um salto interpretativo meio exagerado, como explico com detalhes em outro artigo.
Fumar maconha hoje não é mais como antigamente
Importante mencionar que a Cannabis de alta potência tem se tornado mais abundante ao longo dos anos ou, em outras palavras, a potência da Cannabis vem aumentando e o “baseadinho” dos nossos pais nos anos 70 já não refletem necessariamente a experiência de quem está hoje exposto a concentrados tão fortes que podem ter mais de 80% de THC, como alguns vapes, DABs e resinas vivas.

Esse gráfico do National Institute of Drug of Abuse (NIDA) dá uma ideia bastante ilustrativa do que está acontecendo nas últimas décadas.
A potência psicoativa da Cannabis tem aumentado significativamente nos últimos 50 anos, de acordo com este estudo, e a associação entre Cannabis e psicose vai ficando mais forte, provavelmente em decorrência do aumento de potência psicoativa da planta e suas variedades.
Estima-se que o aumento tenha sido de 14 pontos percentuais desde a década de 70. E, de acordo com o gráfico acima, este aumento tem acontecido de maneira gradual e praticamente linear, o que demonstra uma forte tendência e não apenas algum fator isolado de introdução de uma nova variedade. Ou seja, é sistemático, não eventual.
Uma curiosidade é o aumento de concentração do THC na faixa de 24% em preparados concentrados (como as resinas), que têm se mostrado cada vez mais populares. Curiosamente, o teor de canabidiol (CBD) não aumentou.
O CBD é bastante singular, pois não é psicotrópico, tem baixa psicoatividade e pode inclusive ser anti-psicótico, balanceando certos efeitos do THC. Aparentemente está havendo uma certa seleção por variedades de Cannabis mais “perigosas”.
Esse fator da concentração de THC — que é preponderante e parece ser uma espécie de “gatilho” em indivíduos suscetíveis — merece uma atenção especial e pede para o desenho de estratégias de redução de danos entre os usuários. Isso é particularmente importante na discussão sobre regulamentação, como a que estamos tendo no âmbito do Supremo Tribunal Federal (STF) sobre a descriminalização da maconha no Brasil.
Enquanto a discussão principal na mídia gira em torno da definição de usuário versus traficante e quais os fatores de distinção, a mais relevante — a meu ver — deveria ser como protegemos as pessoas dos problemas inerentes que possam ter. Discutir se a Cannabis vai ser usada ou não é absolutamente anacrônico.
Como vimos no estudo acima, um em cada três adolescentes provavelmente terão contato com ela. Podemos discutir em quais circunstâncias — e regulamentá-las. Talvez esse deveria ser o foco quando se trata de política pública.
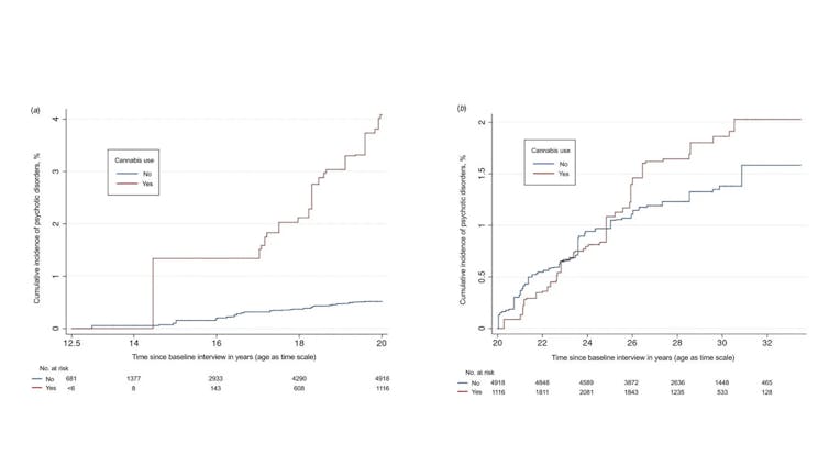
Fechando o raciocínio, existem evidências vindas do Canadá que corroboram o estudo principal mencionado neste artigo, e trazem uma distinção interessante, de que há associação entre ocorrência de sintomas psicóticos e uso de Cannabis quando a exposição se dá na adolescência (avaliada entre 12 e 19 anos), mas não quando o início do uso se dá na idade adulta (após os 20 anos).
A diferença se intensifica ao longo do tempo. Este achado reforça a ideia de vulnerabilidade crítica dos adolescentes a este “gatilho” provocado pelos canabinoides e é consistente com as teorias de neurodesenvolvimento. Estima-se que a associação seja ainda mais forte quanto mais potente for a Cannabis usada.

O uso de Cannabis na adolescência foi associado a um risco 11 vezes maior de ocorrência de sintomas psicóticos. Esta associação não foi encontrada na idade adulta, possivelmente como a primeira evidência epidemiológica direta da grande teoria de vulnerabilidade do neurodesenvolvimento aos canabinoides durante a adolescência.
Esse valor estrondoso de aumento de probabilidade foi obtido por se analisar a ocorrência de sintomas psicóticos na adolescência e não depois, na idade adulta. Considerado como um todo o risco, é de “apenas” 2 vezes, como a grande maioria dos estudos relata.
Em resumo, baseado nestes dados, podemos afirmar a relação positiva entre ocorrência de psicose e a potência da Cannabis utilizada. Este fator é mais relevante na adolescência, e talvez seja a grande questão a ser discutida e que pode pragmaticamente orientar uma política de redução de danos voltada a esta população de indivíduos: Quer fumar? Pega leve.
